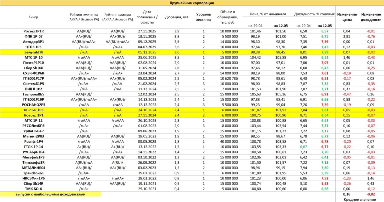
PRObondsмонитор. Первый эшелон корпоративных облигаций
Положение рынка корпоративных облигаций вслед за рынком госдолга стало устойчивым. Причем устойчивость нащупана при доходностях, в среднем, дающих премию даже к облигациям субъектов федерации. Очень долгое время можно было говорить о переоцененности первого эшелона корпоративных облигаций. Сейчас же его оценка представляется справедливой. Бумаг с доходностями около 7% годовых на горизонтах обращения до 3-4 лет достаточно, есть разумные варианты и с более высокими ставками. С учетом вероятного дальнейшего подъема ключевой ставки ожидания снижения доходностей вряд ли обоснованы. Но сами доходности комфортны для размещения денег.
Источник графика индекса корпоративных облигаций (индекс чистых цен): www.moex.com/ru/index/RUCBICP/technical/


