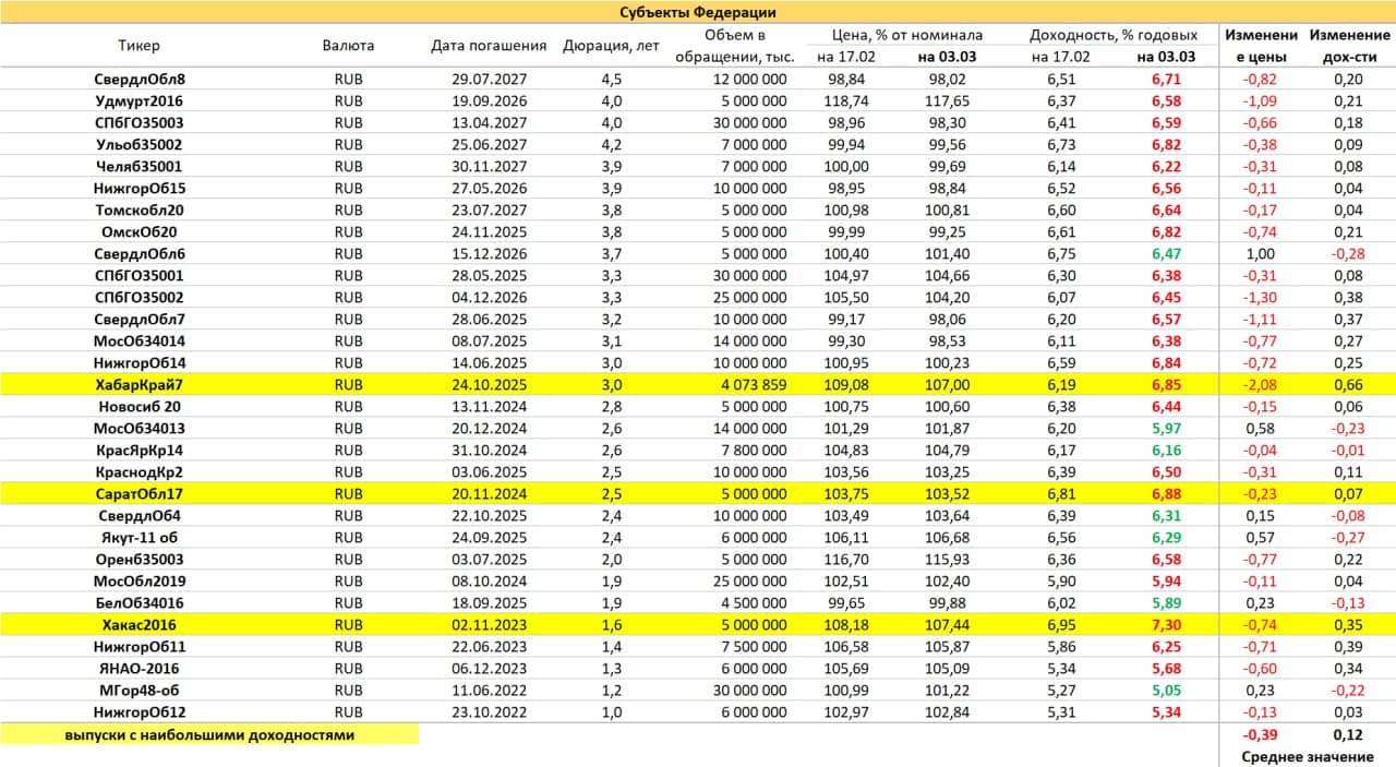
Облигации субъектов федерации и первый корпоративный эшелон. Соревнование с инфляцией
Доходности облигаций субъектов федерации следуют за ОФЗ, давая премию за формальное кредитное качество и сдержанную ликвидность. Ожидать быстрых апсайдов при покупке этого класса бумаг – это, наверно, не сейчас. Поэтому интереснее то, что доходнее. Выбора в этом году стало чуть больше, причем и на коротких сроках до погашения. Возможность обыграть инфляцию (на ее нынешних 5-5,5%) дают уже 2-3-летние выпуски.
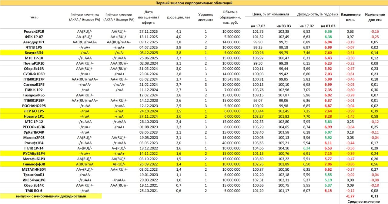
Не покидает ощущение, что корпоративные бумаги недодают доходности. Максимум, на что можно рассчитывать в первом эшелоне – 7-8% годовых. Т.е. премия к инфляции около 1,5-2%. Но это максимум. Усредненная доходность превышает нынешний уровень инфляции всего примерно на 1%. Добавим сюда инерционность сползания котировок корпоративных бумаг (эффект запаздывания в сравнении с ОФЗ) и задумаемся, точно ли пришло время для покупок?



